V rámci projektu DUVLS (Delta2), podpořeného Technologickou agenturou ČR (TAČR), byl publikován odborný konferenční příspěvek, na kterém se jako spoluautor podílel i tým Narranu. Výzkum vedený centrem HiLASE (Fyzikální ústav AV ČR) se zaměřil na efektivní přeměnu výkonného infračerveného laserového záření (1030 nm) na viditelné zelené (515 nm) a ultrafialové (343 nm) světlo – proces známý jako druhá a třetí harmonická generace (SHG a THG).
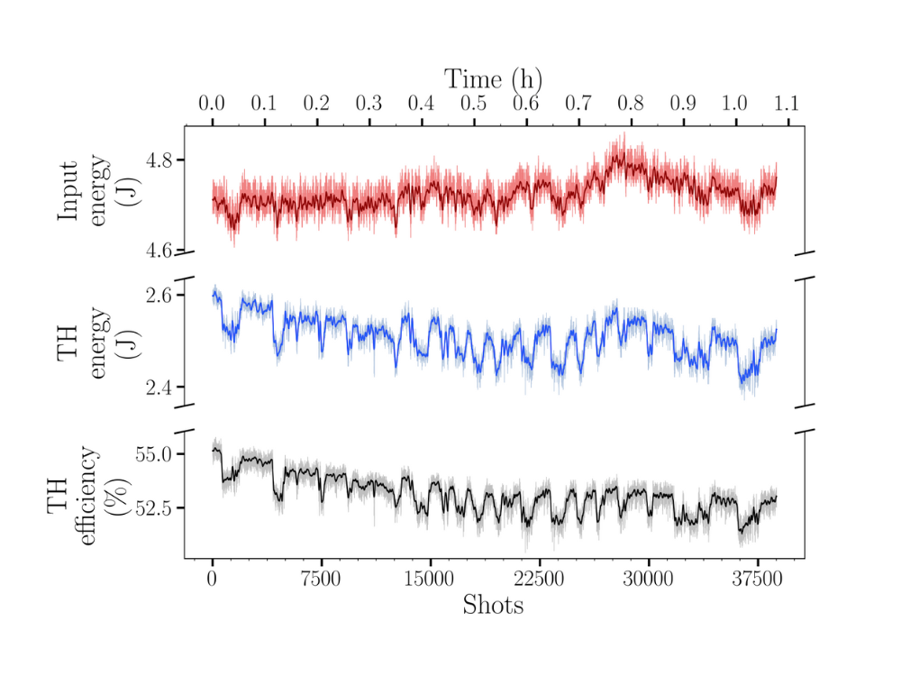
Pomocí LBO krystalů a laserového systému BIVOJ (7 J, 10 Hz) se podařilo dosáhnout mimořádné konverzní účinnosti – 74,5 % pro SHG a 56 % pro THG. Významnou součástí publikace je také experimentální ověření dlouhodobé stability výkonu, která je zásadní pro spolehlivé nasazení v průmyslové praxi i vědě.

Obrázek: Stabilita energie při generaci druhé harmonické (zeleného záření). Černá: účinnost přeměny, modrá: výstupní energie SHG, červená: vstupní energie.
Tato práce dokládá, že technologie založená na krystalech LBO je mimořádně vhodná pro vysoce výkonné laserové aplikace, kde je klíčová vysoká účinnost, přesnost i stabilita. Narran se na projektu podílel v oblasti optických komponent a experimentální validace. Za náš tým přispěl odbornou expertizou Ondřej Schreiber.